Abstract
Background
Immune dysfunction is common in chronic lymphocytic leukaemia (CLL) and infection a major contributor to morbidity and mortality. The level of total serum immunoglobulin G (IgG) is the most commonly monitored aspect of immune dysfunction. The relationship between low total serum IgG and infection is widely accepted, though evidence is conflicting. Several recent studies have examined the relationship between immunoglobulin (Ig) levels, infection, treatment free survival (TFS) and overall survival (OS). Shvidel et al. (EJH 2014) and Parikh et al. (Cancer 2015) showed low IgA level and low IgG level were associated with shorter TFS respectively, while neither showed a relationship with OS. Andersen et al. (Leukemia and Lymphoma 2016) demonstrated a relationship between IgM level and any Ig deficiency and TFS. They also showed a relationship between IgG, IgA and IgM level and any Ig deficiency with OS, the later an independent predictor of OS in multivariate analysis.
Analysis of 150 patients with CLL previously by our group investigated the prevalence of IgG subclass deficiency and its association with infection (Freeman et al., Leukemia and Lymphoma 2013). With over 8 years since recruitment to this study, we re-evaluated our cohort to investigate the relationship between Ig levels, and deficiencies in IgG subclasses with TFS or OS.
Method
Treating physicians were contacted to provide mortality status, date of death and treatment details. Information was obtained for 147 patients from the original cohort of 150. OS analyses were completed from date of diagnosis and from the time Ig levels were assessed to time of death or follow-up. TFS was considered only from the time Ig levels were assessed.
Categorical variables were compared with Chi-square tests. These variables were compared to OS and TFS using an unadjusted Cox proportional hazards model. OS and TFS curves were created using the Kaplan-Meier method with significance tested by log rank tests. Multivariate analysis was performed using a Cox proportional hazards model with backward elimination. An effect was considered statistically significant if p<0.05.
Results
We found 35.9% stage A, 24.3% stage B and 14.3% stage C patients had a single Ig deficiency. Conversely, 85.3% stage C, 64.9% stage B and 20.4% stage A patients had multiple Ig deficiencies. Those diagnosed beyond 24 months of Ig assessment had a higher incidence of both single and multiple Ig deficiency, a similar pattern was observed with IgG subclass deficiencies.
Low total IgG level, multiple Ig deficiencies, IgG1 subclass deficiency, IgG3 subclass deficiency and multiple IgG subclass deficiencies were significantly associated with shorter OS from assessment of Ig level by univariate analysis. After multivariate analysis, multiple IgG subclass deficiencies was the only aspect of immune dysfunction that remained in the final model but it did not retain significance.
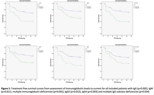
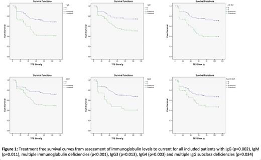
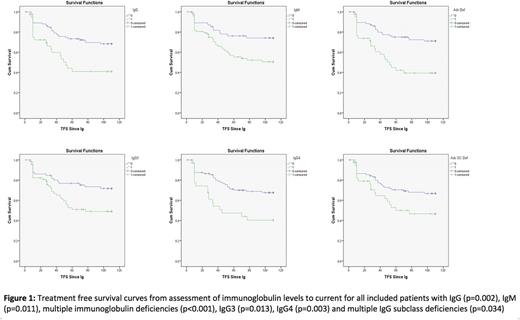
Low total IgG level, IgM deficiency, multiple Ig deficiencies, IgG3 subclass deficiency, IgG4 subclass deficiency and multiple subclass deficiencies were significantly associated with shorter TFS by univariate analysis. After multivariate analysis, IgA deficiency and IgG3 subclass deficiency were significantly associated with shorter TFS.
Conclusion
Univariate analysis showed a significant association between a number of Ig deficiencies and shorter OS, and also between IgG subclass deficiency and shorter OS. Multivariate analysis showed that no aspects of immune dysfunction were associated with shporter OS. Given the association between disease duration and stage and immune dysfunction illustrated by our data, it follows that aspects of immune deficiency are associated with shorter TFS. Hence immune dysfunction can be seen as a correlate for disease severity, and a predicator of the likelihood for treatment. Monitoring Ig levels may be of benefit in patients with CLL.
No relevant conflicts of interest to declare.
Author notes
Asterisk with author names denotes non-ASH members.
